IAESTE Internship


概要

研修フローチャート

イアエステ日本委員会への研修報告書

応募書類、現地での書類など


概要

 2001年6月1日〜7月31日の間、私はドイツのキール(kiel)という街でインターンシップに参加しました。インターシップというのは欧米で非常に盛んで、学生が就職前に企業や大学である期間働いて、仕事の経験を積んだり自分の適性を見分けたりするものです。最近は日本でも主に大会社で行われるようになっていますが、日本の場合は長期休暇中の2週間あるいは1ヶ月とまだ期間は短いです。それに比較して欧米では2ヶ月くらいから長ければ1年と長期間で行われるものが多いです。

 私はイアエステ(IAESTE)という国際学生技術研修協会を通して2ヶ月間海外でのインターシップに参加しました。イアエステの特徴は、理科系の学生のための研修であること、海外で研修を行うこと、世界中に学生支部があり学生間の交流が盛んなことです。理科系の学生のための研修なので、分野は、コンピュータ、電気電子、機械、都市、建築、化学、生物、薬学、農業など多岐にわたります。場所も企業あるいは大学の研究室とさまざまです。私の研修場所はキール大学の工学科の研究室で、音声コーディングに関連したウェブページの作成を仕事として行いました。
 仕事内容はともかくとしてイアエステの最大の特徴はやはり海外で研修を行うことだと思います。文化も言葉も人種も違う中で生活をし仕事をするというのはそれ自体が研修になります。特に、日常的に外国人に接する環境が少ない私たち日本人にとっては、とても貴重な体験になります。私がドイツで研修した時にはもちろんドイツ人と最も多く接したわけですが、その他にも宿舎や学生のイベントなどで何十カ国もの人に会いました。イアエステの研修期間はたいてい2ヶ月から3ヶ月くらいと短めで夏に行われます。私の場合は自分の研究の都合から2ヶ月間にしました。

 イアエステに似たもので主に経済系の学生のためのアイセック(AIESEC)という組織があります。こちらは経営、情報、環境、福祉といった分野が中心で研修場所は主に企業、NGOなどがあります。期間はイアエステに比べて長くたいていは半年あるいは1年と長期にわたります。海外で研修を行い世界中に学生支部があるという点はイアエステと同じです。日本ではイアエステとアイセックは全く別の組織で交流はないようですが、ドイツではほぼ同じ組織と位置付けられているらしく、一緒に活動を行っている都市も多くあります。海外インターシップを斡旋する組織は他にもあり、また各企業で個別に募集する海外インターシッププログラムもたくさんあります。

 海外インターシップに参加しての率直な感想は、参加して非常に良かったということです。海外で生活することにも慣れましたし、現地で知り合った人と今もメールのやりとりをしています。
 現在、学生で時間に余裕のある人はぜひ海外インターシップに参加するといいと思います。海外で仕事をするということから留学とはまた違った経験ができます。もちろん給料が出ますのであまり旅行しなければ普通に生活していけます。しかも世界中のたくさんの人と知り合えます。たいてい身近に親切な人がいるのでたとえはじめての海外生活でも心配はいりません。学生のみなさんは、ぜひ、ぜひ、参加しましょう。
 とはいっても、海外インターシップは日本ではあまり知られておらず、応募の方法、渡航費用、現地での生活、仕事内容など疑問な点も多いと思いますので、私のイアエステでの研修を中心に、いろいろ書いてみました。もしかしたら記述内容に間違いがあるかもしれませんが、ご容赦ください。
 質問や意見等は hat@iis.u-tokyo.ac.jp までどうぞ。



研修フローチャート

 私が、イアエステ研修に応募してから研修をし帰国するまでの流れを簡単に時系列に書いてみました。

2000年

10月: イアエステ研修応募書類提出

11月12日: イアエステ派遣研修候補生認定試験 (課題英作文、面接)

11月下旬: 認定試験合格通知を受け取る

2001年

2月上旬: 2次審査用書類を受け取る

2月中旬: 2次審査用書類(研修希望先リストなど)を日本委員会に送付

2月下旬: 2次審査合格通知と3次審査用書類を受け取る

3月上旬: 3次審査用書類(希望期間、取得単位、語学力など)を日本委員会に送付

3月下旬: 研修先機関である大学研究室の秘書さんからメールで受け入れ通知を受け取る

4月下旬: 日本委員会より受け入れ通知書類のFAX版を受け取る

5月上旬: 日本委員会より正式な受け入れ通知書類を受け取る

5月中旬: 航空券取得、保険加入、必要書類を日本委員会に送付

5月下旬: 渡航準備、お金の工面

5月29日: 成田発

6月1日: ドイツ、キール大学にて研修開始

7月31日: 研修修了

8月8日: 英国旅行後、帰国

10月: 研修報告書提出

その他、日本のイアエステのイベントに参加して楽しむなど。

 書類が届いてから出発までに1ヶ月しかなく連休が挟まってしまったので、出発前は航空券の取得やら初日のYHの予約やらでかなり大変でした。通常は7月や8月から研修を行うのでもっと余裕があると思います。



研修報告書

 イアエステ日本委員会へ提出した研修報告書です。研修に関わる以下の具体的内容が書かれています。おそらく研修に関する内容がもっとも詳しくまとまって書かれています。
  1. 研修の概要 (研修先機関、期間、就業時間、賃金、待遇、仕事の日程と内容)
  2. 研修先の人間関係および管理形態 (職場での生活、施設、気づいた点)
  3. 研修の具体的内容
  4. 渡航前の準備費用 (交通機関、費用、保険、ビザ)
  5. 研修国のイアエステ委員会とその待遇 (研修国到着日から研修開始までの行動、現地委員会が用意した交流プログラム)
  6. 研修国での生活 (宿舎、言葉、生活水準、他の派遣研修生、その他)
  7. 研修の総括
  8. 来年度以降の派遣研修生へのアドバイス
 

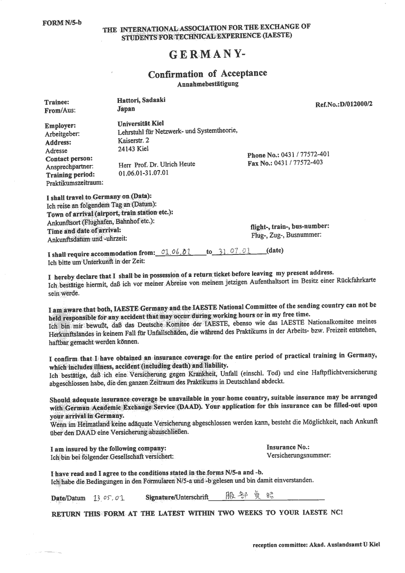
応募書類、現地での書類など

 イアエステ研修に応募する時に必要だった書類や、現地での書類などを参考までにリストアップしてみました。なお、書類は一部のみです。また、必要な書類は研修国、機関等により異なります。


2次審査用書類

希望研修先リスト
履歴書
研修先の例

3次審査用書類

Nomination  所属大学、取得単位、語学レベル、希望研修期間などの具体的記述
Curriculum Vita (英文履歴書)
Cover Letter  英文履歴書に添付する簡単な自己推薦書
Application Letter  研修への意欲や自己の能力を示す自己推薦書
List of subjects

Language Certificate

研修前の書類

Acceptance Notes N5a  研修先機関から派遣候補生への契約書、受入通知
Acceptance Notes N5b  派遣候補生から研修先機関への契約書、研修期間の確認
Bundesanstalt  ドイツ政府による労働の承認
IAESTE Insurance and Liability Policy  海外旅行傷害保険加盟の誓約
旅行計画書


研修中の書類

Bewilligung eines Stipendiums  奨学金という名目での賃金支払指示書
Rechnung  学生宿舎の賃貸金額指示書